Trending:
BISE Peshawar result 2026 |
BISE Abbottabad Result2026 |
BISE Mardan Result2026 |
BISE Bannu Result2026 |
BISE Swat Result2026 |
BISE Malakand Result2026 |
BISE Kohat Result2026 |
BISE DI Khan Result2026
Sindh Education & Literacy Department Admissions 2025 B.ED

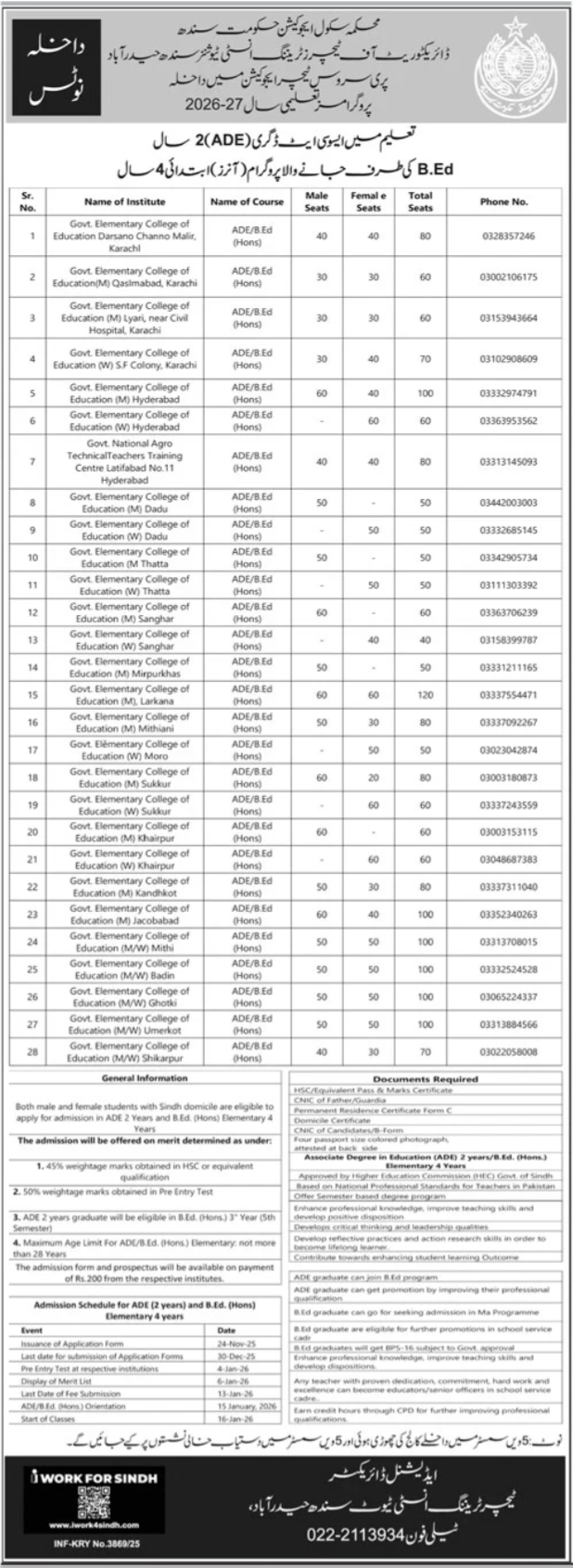
The Directorate of Pre-Service Teacher Education, School Education & Literacy Department, Government of Sindh, Hyderabad, is pleased to announce the commencement of admissions 2025-26 for the Associate Degree in Education ADE 2-Year Program and the B.Ed. Hons. Elementary 4-Year Program. tent, skilled, and knowledgeable teachers for elementary education across Sindh. Both programs are designed to prepare professionally competent, skilled, and knowledgeable teachers for elementary education across Sindh.
Programs Offered
Associate Degree in Education ADE – 2 Years
B.Ed. Hons. Elementary – 4 Years
ADE graduates will be eligible for direct admission into the 5th semester 3rd year of the B.Ed. Hons. program.
Both programs are approved by the Higher Education Commission HEC and follow the National Professional Standards for Teachers in Pakistan.
Eligibility Criteria
Gender: Both male and female candidates with Sindh domicile are eligible.
Age Limit: Maximum age is 28 years.
Merit Formula:
45% weightage – Marks obtained in HSC or equivalent
50% weightage – Pre-Entry Test score
ADE graduates may continue to B.Ed. Hons. for enhanced qualifications.
Documents Required
Applicants must submit the following documents with the admission form:
HSC/Equivalent Pass Certificate & Marks Sheet
CNIC of Candidate or B-Form
CNIC of Father/Guardian
Domicile Certificate
PRC Form “C”
Four attested passport-size colored photographs
Admission Schedule 2025–2026
Event | Date |
Issuance of Application Forms | 24 Nov 2025 |
Last Date for Submission | 30 Dec 2025 |
Pre-Entry Test | 4 Jan 2026 |
Display of Merit List | 6 Jan 2026 |
Last Date for Fee Submission | 13 Jan 2026 |
ADE/B.Ed. Orientation | 15 Jan 2026 |
Commencement of Classes | 16 Jan 2026 |
Program Benefits
These teacher education programs aim to:
Enhance professional knowledge and teaching skills
Develop positive attitudes, leadership qualities, and critical thinking
Promote reflective teaching and action research
Improve student learning outcomes
Provide opportunities for career advancement in the school education sector
B.Ed. graduates may apply for MA programs and are eligible for promotions within the school service cadre. Subject to government approval, B.Ed. graduates may also be offered BPS-16 positions.

Add a Comment
Comments will be shown after admin approval.
Spam comments will not be approved at all.
Intermediate Result 2026
Related Educational News
Matric Result 2026 Punjab
10th Class Result 2026 Punjab
9th Class Result 2026 Punjab Boards
10th Class Result Gazette 2026 Punjab
Punjab Past Papers Matric 9th 10th
Primary Results 5th & 8th Class
BISE Results Intermediate & Matric
BISE Punjab Boards
Sindh Educational Boards
KPK Examination Boards
Technical Boards
Public Service Commission
University Results Gruaduation, Masters Classes
Subscribe by Email
Subscribe by Email
Position Holders Matric 2026
Position Holders 9th Class 2026
Position Holders Inter 2026
Position Holders 11th Class 2026

